
Mức đóng cho phương thức đóng một lần khi tham gia BHXH tự nguyện theo Nghị định 159?
Ngày 25/6/2025, Chính phủ đã ban hành Nghị định 159/2025/NĐ-CP quy định chi tiết và hướng dẫn thi hành một số điều của Luật Bảo hiểm xã hội về bảo hiểm xã hội tự nguyện.
Theo đó, quy định mức đóng cho phương thức đóng một lần khi tham gia BHXH tự nguyện cụ thể như sau:
(1) Mức đóng của phương thức đóng một lần cho nhiều năm về sau
Căn cứ Điều 5 Nghị định 159/2025/NĐ-CP quy định mức đóng của phương thức đóng một lần cho nhiều năm về sau như sau:
– Người tham gia bảo hiểm xã hội tự nguyện được chọn phương thức đóng một lần cho nhiều năm về sau nhưng không quá 5 năm (60 tháng) một lần.
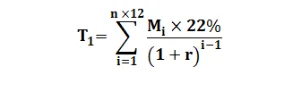
– Mức đóng một lần cho nhiều năm về sau được tính bằng tổng mức đóng của các tháng đóng trước, chiết khấu theo lãi suất đầu tư quỹ bảo hiểm xã hội bình quân tháng do Bảo hiểm xã hội Việt Nam công bố của năm trước liền kề với năm đóng và được xác định theo công thức sau:
Trong đó:
– T1: Mức đóng một lần cho n năm về sau (đồng);
– Mi: Mức thu nhập tháng do người tham gia bảo hiểm xã hội tự nguyện chọn tại thời điểm đóng (đóng/tháng);
– r: Lãi suất đầu tư quỹ bảo hiểm xã hội bình quân tháng do Bảo hiểm xã hội Việt Nam công bố của năm trước liền kề với năm đóng (%/tháng);
– n: Số năm đóng trước do người tham gia bảo hiểm xã hội chọn, nhận một trong các giá trị từ 2 đến 5;
– i: Tham số tự nhiên có giá trị từ 1 đến (n x 12).
(2) Mức đóng của phương thức đóng một lần cho thời gian đóng bảo hiểm xã hội còn thiếu để đủ điều kiện hưởng lương hưu
Căn cứ Điều 6 Nghị định 159/2025/NĐ-CP quy định mức đóng của phương thức đóng một lần cho thời gian đóng bảo hiểm xã hội còn thiếu để đủ điều kiện hưởng lương hưu như sau:
– Người tham gia bảo hiểm xã hội đã đủ tuổi nghỉ hưu theo quy định tại khoản 2 Điều 169 Bộ luật Lao động 2019 nhưng thời gian đóng bảo hiểm xã hội còn thiếu không quá 5 năm (60 tháng) thì được đóng cho đủ 15 năm để hưởng lương hưu.
– Mức đóng một lần cho những năm còn thiếu được tính bằng tổng mức đóng của các tháng còn thiếu, áp dụng lãi gộp bằng lãi suất đầu tư quỹ bảo hiểm xã hội bình quân tháng do Bảo hiểm xã hội Việt Nam công bố của năm trước liền kề với năm đóng và được xác định theo công thức sau:
Trong đó:
– T2: Mức đóng một lần cho những năm còn thiếu (đồng);
– Mi: Mức thu nhập tháng do người tham gia bảo hiểm xã hội tự nguyện chọn tại thời điểm đóng (đóng/tháng);
– r: Lãi suất đầu tư quỹ bảo hiểm xã hội bình quân tháng do Bảo hiểm xã hội Việt Nam công bố của năm trước liền kề với năm đóng (%/tháng);
– t: Số tháng còn thiếu, nhận một trong các giá trị từ 1 đến 60;
– i: Tham số tự nhiên có giá trị từ 1 đến t.
Trên đây là Mức đóng cho phương thức đóng một lần khi tham gia BHXH tự nguyện từ 01/7/2025 theo Nghị định 159/2025/NĐ-CP.
Thời hạn đóng bảo hiểm xã hội tự nguyện là bao lâu?
Căn cứ theo quy định tại khoản 3 Điều 36 Luật Bảo hiểm xã hội 2024 thời hạn đóng bảo hiểm xã hội tự nguyện cụ thể là:
– Trong tháng đối với phương thức đóng hằng tháng;
– Trong 03 tháng đối với phương thức đóng 03 tháng một lần;
– Trong 04 tháng đầu đối với phương thức đóng 06 tháng một lần;
– Trong 07 tháng đầu đối với phương thức đóng 12 tháng một lần;
– Tại thời điểm đăng ký phương thức đóng và mức thu nhập tháng làm căn cứ đóng đối với trường hợp quy định tại điểm đ khoản 2 Điều 36 Luật Bảo hiểm xã hội 2024
– Tại thời điểm đăng ký phương thức đóng và mức thu nhập tháng làm căn cứ đóng đối với trường hợp quy định tại điểm e khoản 2 Điều 36 Luật Bảo hiểm xã hội 2024 nhưng sớm nhất là tháng trước liền kề tháng người lao động đủ tuổi nghỉ hưu theo quy định.
Hưởng tiền bảo hiểm xã hội một lần có phải đóng thuế TNCN không?
Căn cứ điểm b.6 khoản 2 Điều 2 Thông tư 111/2013/TT-BTC quy định:
Các khoản thu nhập chịu thuế
Theo quy định tại Điều 3 Luật Thuế thu nhập cá nhân và Điều 3 Nghị định số 65/2013/NĐ-CP, các khoản thu nhập chịu thuế thu nhập cá nhân bao gồm:
…
2. Thu nhập từ tiền lương, tiền công
…
b) Các khoản phụ cấp, trợ cấp, trừ các khoản phụ cấp, trợ cấp sau:
b.1) Trợ cấp, phụ cấp ưu đãi hàng tháng và trợ cấp một lần theo quy định của pháp luật về ưu đãi người có công.
b.2) Trợ cấp hàng tháng, trợ cấp một lần đối với các đối tượng tham gia kháng chiến, bảo vệ tổ quốc, làm nhiệm vụ quốc tế, thanh niên xung phong đã hoàn thành nhiệm vụ.
b.3) Phụ cấp quốc phòng, an ninh; các khoản trợ cấp đối với lực lượng vũ trang.
b.4) Phụ cấp độc hại, nguy hiểm đối với những ngành, nghề hoặc công việc ở nơi làm việc có yếu tố độc hại, nguy hiểm.
b.5) Phụ cấp thu hút, phụ cấp khu vực.
b.6) Trợ cấp khó khăn đột xuất, trợ cấp tai nạn lao động, bệnh nghề nghiệp, trợ cấp một lần khi sinh con hoặc nhận nuôi con nuôi, mức hưởng chế độ thai sản, mức hưởng dưỡng sức, phục hồi sức khoẻ sau thai sản, trợ cấp do suy giảm khả năng lao động, trợ cấp hưu trí một lần, tiền tuất hàng tháng, trợ cấp thôi việc, trợ cấp mất việc làm, trợ cấp thất nghiệp và các khoản trợ cấp khác theo quy định của Bộ luật Lao động và Luật Bảo hiểm xã hội.
…
Như vậy, tiền hưởng bảo hiểm xã hội một lần thuộc khoản tiền phụ cấp, trợ cấp không tính thu nhập chịu thuế TNCN nên số tiền đó không phải chịu thuế thu nhập cá nhân.
- Nội dung nêu trên là phần giải đáp, tư vấn của chúng tôi dành cho khách hàng của SPRINGO. Nếu quý khách còn vướng mắc, vui lòng gửi về Email hrspring.vn@gmail.com.
- Nội dung bài viết chỉ mang tính chất tham khảo.
- Điều khoản áp dụng theo Luật tại thời điểm viết bài.
- Mọi ý kiến thắc mắc về bản quyền của bài viết vui lòng liên hệ qua địa chỉ mail hrspring.vn@gmail.com.

